中文
摘要:塑料购物袋,也称马夹袋、手提袋、塑料袋,也因为使用方便,已经普遍应用于我们的生活之中。常见塑料购物袋以树脂为主要原料生产的薄膜、经热合或粘合等制袋工艺加工而成。市场需求量大,应用行业多,存在的问题也跟随出现,近期山东省市场监管局日前对全省60家企业生产的60批次塑料袋产品进行了监督抽检,检测发现,部分企业产品不合格被点名通报,那如何来控制塑料包装袋的质量,我们今天结合山东德瑞克检测仪器来一一分析。
关键词:塑料购物袋热合强度、购物袋落镖冲击、马夹袋厚度测试、手提袋测试、塑料袋检测
1、意义

塑料购物袋目前市场上产品层次不齐,合格的包装袋应该标注依据国家标准,承重量,等级要求,企业相关信息,批号,生产日期等相关信息,对产品有明确的标识和使用范围。比如是否是食品级包装袋,是否可以二次使用等。在使用时,承重量,跌落性能,袋子材料的热合强度,漏水性,落镖冲击性能每一项都有相关标准的检测要求,如何没有检测,没有管控,就会导致在使用中出现产品跌落、损坏等问题。

图 2 塑料购物袋

图2 塑料手提袋使用
2、执行标准
GB/T21661-2008《塑料购物袋》
福利:文末提供各项标准下载
3、测试项目
3.1 测试项目——厚度测试
3.1.1厚度是购物袋原材料基础性能,厚度不均匀对购物袋的整体性能造成影响,而造成袋子厚薄不均的主要原因是生产工艺不完善。袋子整体性能造成影响,还会增加企业的生产成本。国标对不同厚度的购物袋,有严格的把控要求,如图3

图3 厚度偏差要求
3.1.2测试仪器
DRK203C薄膜测厚仪,接触式测量方式,适用于量程范围内的塑料薄膜、薄片、铝箔等各种材料厚度测量。
点击图片查看具体参数
3.1.3仪器参数
?测量范围:0~3mm(常规)
?测量行程:18mm
?分辨率:0.1μm
?测量速度:5次/min(可调)
?测头移动速度:3mm/s
?测量压强:2kpa、20kpa、50kpa、100kp
?接触面积:28mm (直径6mm) 非标可定制
3.1.4测试要求
将塑料购物袋打开,将其剖开后,单面铺开,用测厚仪测量单面薄膜厚度。按GT/T6672-2001的规定进行测量,沿塑料购物袋的宽度方向均匀测量8点,将记录的数据按公式1,公式2计算厚度极限偏差和厚度平均偏差。塑料购物袋有压花或压纹时,应将压花或压纹平整地压平后测定压平处厚度。
3.1.5测试结果计算
厚度极限偏差计算公式

式中:△e——厚度极限偏差,单位为毫米(mm);
emin或max——实测最小或最大厚度,单位为毫米(mm);
e0——公称厚度,单位为毫米(mm)。
3.2 测试项目——提吊试验
3.2.1 测试仪器
提袋疲劳试验机,振幅30mm±2mm,频率2Hz~3Hz。

3.2.2试验要求
将相当于公称承重的模拟物(如沙子、米粒等)装入袋中,然后悬挂在试验机上,试验3600次,观察袋体及提带有无损坏。试验数量三个,均无破裂为合格。
3.3 测试项目——跌落试验
3.3.1试验要求
将相当于公称承重的模拟物(如沙子、米粒等)装入袋中,用胶粘带将袋口封上,袋底离地0.5m高处自由落下,试验地面应为平整硬地面,观察袋体是否损坏。试验数量三个,均无破裂为合格。
3.3.2相关设备
DRK124跌落试验机
点击图片查看具体参数
3.3.3仪器参数
?跌落高度:1.5 米
?双翼面积:1500*1500
?底板面积:1600*1600
?承受重量:200kg
3.4测试项目——漏水性
3.4.1试验要求
将塑料购物袋装入五分之一容积的清水,水温23℃±2℃,保持静置1分钟后,观察塑料购物袋底部是否有滴落水珠,并记录所观察现象,试验数量三个。三个袋子均无漏水为合格。
3.5测试项目——热合强度
3.5.1测试仪器
DRK101电子拉力试验机,适用于塑料薄膜、复合膜、胶粘制品、橡胶、纸张纤维等产品的拉伸、剥离、热封、撕裂、穿刺力、伸长率等性能测试。可定制不同夹具实现不同测试项目。
点击图片查看具体参数
3.5.2仪器参数
2规格:500N(标配) 50N、100N、5000N(可选)
2精度:优于0.5级
2力值分辨率:0.1N
2形变分辨率:0.001mm
2试验速度:1~500mm/min(无级调速)
2试样宽度:30mm(标配夹具)50mm(可选夹具)
2试样夹持:手动
2行程:700mm(标配) 400mm、1000 mm(可选)
3.5.3测试要求
热合强度按QB/T2358-1998进行,试验速度为300mm/min±50 mm/min,测试结果应满足以下表格要求。
公称承重m/kg 热合强度/(N/15mm)
公称承重m/kg | 热合强度/(N/15mm) |
m<6 | 6.0 |
6≤m≤10 | 8.0 |
m>10 | 10.0 |
3.6测试项目——落镖冲击
3.6.1测试仪器
DRK135A 落镖冲击试验仪用于厚度小于1mm的塑料薄膜或薄片在给定高度的自由落镖冲击下,测定50%塑料薄膜或薄片试样破损时的冲击质量和能量。
点击图片查看具体参数
3.6.2仪器参数
?测量方法:A 法、B 法(可选)
?测试范围:A 法:50~2000g B 法:300~2000g
?测试范围:测试精度:0.1g(0.1J)
?试样装夹:气动
?气源压力:0.6MPa(气源用户自备)
?气源接口:Ф8mm 聚氨酯管
?试样尺寸:>150mm×150mm
3.6.3测试要求
按GB/T 9639-1988 A法规定进行落镖质量冲击试验,采用单片试样,落镖质量见下表,数量为10片。
不破列数≥8个。
公称承重m/kg | 热合强度/(N/15mm) |
m<6 | 50 |
6≤m≤10 | 70 |
m>10 | 100 |
3.7测试项目——印刷质量
3.7.1测试要求
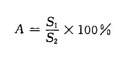
在袋子印刷油墨较多部位上切取试样。印刷面朝上,用透明胶带将试样四边固定在平滑的台面上露出试验部位:100mmX100mm。操作过程中不要用手接触测量部位,用180°剥离强度为6.5N/15mm±1.0N/15mm的胶粘带,取宽15mm,长175mm,贴于试样印刷面上,在75mm处折成180°,并在粘贴部位用为1kg压辊来回滚压一次。然后用手快速进行剥离,剥离后用分度值为0.5mm的钢板尺测量印刷油墨剥离面积与残留面积,按以下计算印刷油墨玻璃率。试验数量三个,取其平均值,结果修约至1%。

式中:A—— 印刷油墨剥离率,%
S1—— 剥离面积,单位为平方毫米(mm2)
S2—— 残留面积,单位为平方毫米(mm2)
4、结论
关于塑料购物袋的质量控制检测方案以及解决办法我们通过德瑞克仪器一一分析,生产企业在生产过程中需要不断的对自身产品进行测试来把控产品质量,提升自己产品品质,赢得客户和市场的认可才是最终目的。山东德瑞克同时承接各个企业寄样检测,为各个合作伙伴提供产品检测数据,德瑞克实验室同时还涵盖纸张、橡胶、薄膜类各种检测设备,满足不同客户采购和检测。
山东德瑞克期待与行业中的企事业单位增进技术交流与合作!
附件:
塑料购物袋质量控制解决方案标准下载:
QBT 2358-1998 塑料薄膜包装袋热合强度试验方法.pdf
GBT 6672-2001 塑料薄膜与薄片厚度的测定 机械测量法.pdf
GBT 9639.1-2008塑料薄膜和薄片 抗冲击性能试验方法 自由落镖法 第1部分:梯级法.pdf
版权所有 @ 山东德瑞克仪器股份有限公司 备案号:鲁ICP备12028852号-4 实验室一站式服务,实验室设计,试验仪选配.(鲁)-非经营性-2021-0099